Correct option is A
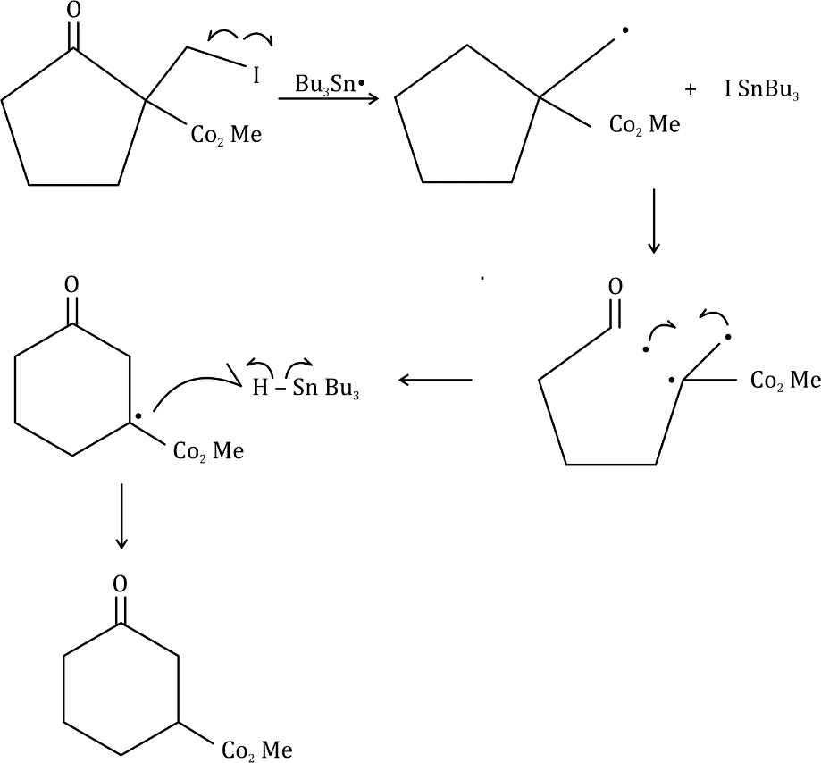
Radicals can be generated by homolysis of weak σ-bonds. Homolysis is affected by photochemical, thermal or redox (electron transfer) methods. A common method to initiate a radical reaction is to warm a peroxide such as benzoyl peroxide or azobisisobutyronitrile (AIBN). The radical • C(CN)Me2 generated from AIBN is rather unreactive, but is capable of abstracting a hydrogen atom from weakly bonded molecules such as tributyltin hydride. The resulting tributyltin radical reacts readily with alkyl halides, selenides and other substrates to form a carbon-centred radical.















