Correct option is C
In the laboratory, acyl chlorides are generally prepared by treating carboxylic acids with thionyl chloride (SOCl2).

Diazomethane, CH2N2, is a rather curious compound that has to be drawn as a dipole. There are several different ways of expressing its structure.

The reaction of diazomethane with acyl chlorides starts as a simple acylation to give a diazonium compound. If there is an excess of diazomethane, a second molecule acts as a base to remove a rather acidic proton between the carbonyl and the diazonium groups to give the diazocarbonyl compound.

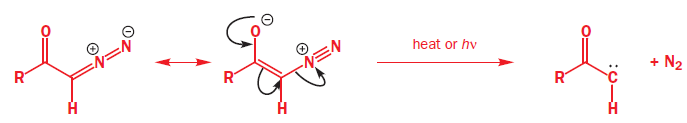
Diazocarbonyl compounds can be decomposed to carbenes by heat or light. The formation of very stable gaseous nitrogen compensates for the formation of the unstable carbene.

Carbenes react with alkenes to give cyclopropanes.













