Correct option is A
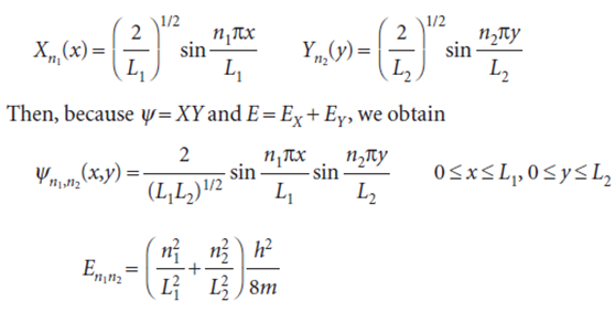
We consider a two-dimensional version of the particle in a box. The particle is confined to a rectangular surface of length L1 in the x-direction and L2 in the y-direction; the potential energy is zero everywhere except at the walls, where it is infinite. The wavefunction is now a function of both x and y and the Schrödinger equation is

Separation of variables
Some partial differential equations can be simplified by the separation of variables technique, which divides the equation into two or more ordinary differential equations, one for each variable.


The quantity EX is the energy associated with the motion of the particle parallel to the x-axis, and likewise for EY and motion parallel to the y-axis.
The separation of variables technique applied to the particle in a two-dimensional box.


The first term on the left is independent of y, so if y is varied only the second term can change. But the sum of these two terms is a constant given by the right-hand side of the equation; therefore, even the second term cannot change when y is changed. In other words, the second term is a constant, which we write

By a similar argument, the first term is a constant when x changes, and we write it



with the quantum numbers taking the values

independently.






