Correct option is A
In quantum mechanics, the Hamiltonian of a system is an operator corresponding to the total energy of that system, including both kinetic energy and potential energy. Its spectrum, the system's energy spectrum or its set of energy eigenvalues, is the set of possible outcomes obtainable from a measurement of the system's total energy. The Hamiltonian takes different forms and can be simplified in some cases by taking into account the concrete characteristics of the system under analysis, such as single or several particles in the system, interaction between particles, kind of potential energy, time varying potential or time independent one.
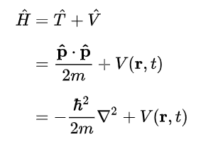
By analogy with classical mechanics, the Hamiltonian is commonly expressed as the sum of operators corresponding to the kinetic and potential energies of a system in the form

is the kinetic energy operator in which is the mass of the particle, the dot denotes the dot product of vectors, and

Although this is not the technical definition of the Hamiltonian in classical mechanics, it is the form it most commonly takes. Combining these yields the form used in the Schrödinger equation:

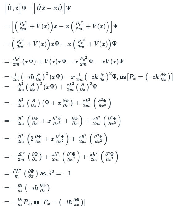
Using the identity:
[A+B,C]=[A,C] +[B,C]



