Correct option is C




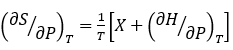
The thermodynamic variable ‘X’ in the equation,

is




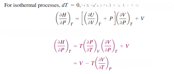
For a van der Waals gas, the partial derivative is
The excess molar entropy of mixing of liquid A with liquid B is -Rln2. The experimentally observed change in entropy upon mixing 1.0 mol of liquid A with 1.0 mol of liquid B is
The change in chemical potential (in J) of one mole of an ideal gas, when it is compressed isothermally at 300 K from 1.0 atm to 2.0 atm, is closest to (ln2=0.69)
A monatomic perfect gas undergoes expansion from (P1,V1) to (P2,V2) under isothermal or adiabatic conditions. The pressure of the gas will fall more rapidly under adiabatic conditions because
in two different containers of the same volume have the same entropy. Assuming there are no rotational and vibrational contributions to the entropy, if the temperature of
During the phase transition, at constant temperature, of a solid from one form to another, the change in molar volume, is independent of pressure. The change in molar Gibbs free energy, in units of , when the pressure in increased from 1 bar to 3 bars is
The Gibbs free energy of mixing for a regular binary solution of components A and B, at temperature T, on the basis of the Margules equation for activity coefficient, is (in standard notation)
Among the following, the correct thermodynamic equation of state is
The change in the entropy and the Gibbs free energy of a system are denoted by ΔS and ΔG , respectively. For reversible melting of ice at 1atm and 0°C,
The application of Euler’s reciprocity relation (cross-derivative rule) to the volume of 1 mole of an ideal gas results in mixed second derivative of V equal to