Correct option is A
Step 1:Dibutylboron trifluoromethanesulfonate is a reagent in organic chemistry. It is used in asymmetric synthesis for example in the formation of boron enolates in the aldol reaction.
Step 2:Grubbs catalysts are a series of transition metal carbene complexes used as catalysts for olefin metathesis. Olefin metathesis is an organic reaction that entails the redistribution of fragments of alkenes(olefins) by the scission and regeneration of carbon-carbon double bonds.
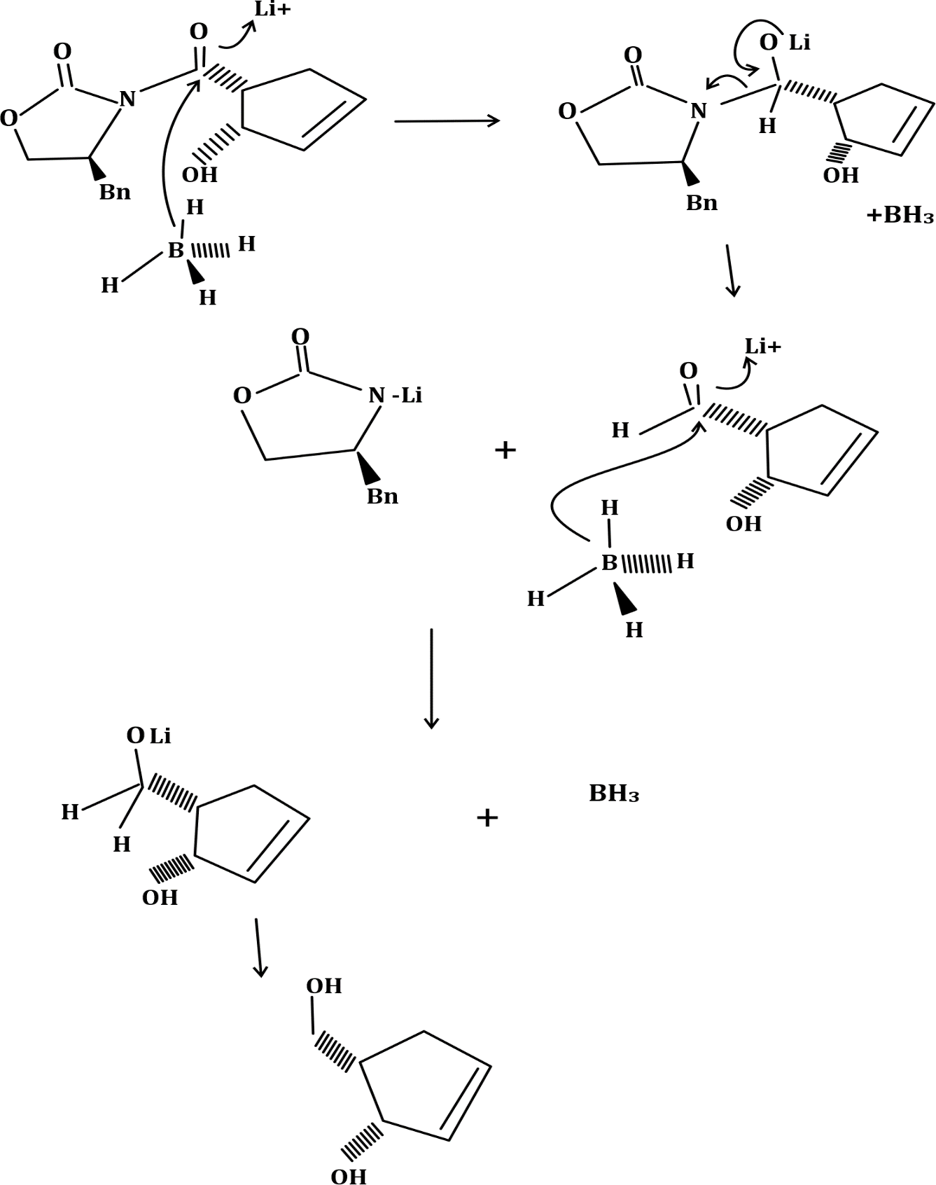
Step 3: Lithium borohydride is useful as a source of hydride (H-). It can react with a range of carbonyl substrates and other polarized carbon structures to form a hydrogen–carbon bond. The reactivity is attributed to the polarization of the carbonyl substrate by complexation to the lithium cation.
Benzyl is the substituent or molecular fragment possessing the structure R−CH2−C6H5. Benzyl features a benzene ring (C6H6) attached to a methylene group(−CH2−). Benzyl is most commonly abbreviated Bn.
















