Correct option is B
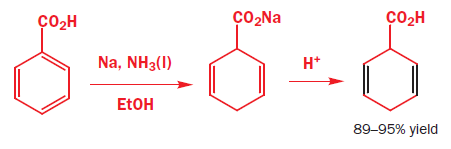
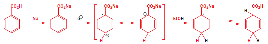
Group 1 metals, such as sodium or lithium, readily give up their single outer-shell electron as they dissolve in solvents such as liquid ammonia or ethanol. Electrons are the simplest reducing agents, and they will reduce carbonyl compounds, alkynes, or aromatic rings—in fact any functional group with a low-energy π* orbital into which the electron can go. We shall start by looking at the dissolving metal reduction of aromatic rings, known as the Birch reduction.

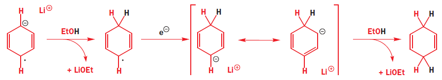
The first thing to note is that when lithium or sodium dissolve in ammonia they give an intense blue solution. Blue is the colour of solvated electrons: these group 1 metals ionize to give Li+ or Na+ and e-(NH3)n—the gaps between the ammonia molecules are just the right size for an electron. With time, the blue colour fades, as the electrons reduce the ammonia to NH2- and hydrogen gas.

Birch reductions use those blue solutions, with their solvated electrons, as reducing agents. The reduction of NH3 to NH2- and H2 is quite slow, and a better electron acceptor will get reduced in preference. In the example above, the electrons go into benzene’s lowest lying antibonding orbital (its LUMO). The species we get can be represented in several ways, all of them radical anions (molecules with one excess, unpaired electron).

The radical anion is very basic, and it picks up a proton from the ethanol that is in the reaction mixture. The molecule is now no longer anionic, but it is still a radical. It can pick up another electron, which pairs with the radical to give an anion, which is quenched again by the proton source (ethanol).

Electron-withdrawing groups promote ipso, para reduction while electron-donating groups promote ortho, meta reduction. The explanation must lie in the distribution of electron density in the intermediate radical anions. Electron-withdrawing groups stabilize electron density at the ipso and para positions, and protonation occurs para.















