Correct option is C
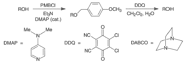
p-Methoxybenzyl Ethers (RO-PMB)
The PMB ether, also referred to as an MPM ether [(4-methoxyphenyl)methyl], is less stable to acids than a benzyl ether (RO-Bn). Its utility as a protecting group stems from the fact that it can be removed oxidatively with DDQ (2,3-dichloro-5,6-dicyano-1,4-benzoquinone) under conditions that do not affect protecting groups such as acetals, RO-Bn, benzoyl, tosyl, or acetate groups, nor do they affect epoxides or ketones. Alternatively, RO-PMB ethers can be cleaved with










