Correct option is C
In chemistry, the haloform reaction is a chemical reaction in which a haloform (CHX3, where X is a halogen) is produced by the exhaustive halogenation of an acetyl group (R−C(=O)CH3, where R can be either a hydrogen atom, an alkyl or an aryl group), in the presence of a base. The reaction can be used to transform acetyl groups into carboxyl groups (R−C(=O)OH) or to produce chloroform (CHCl3), bromoform (CHBr3), or iodoform (CHI3).

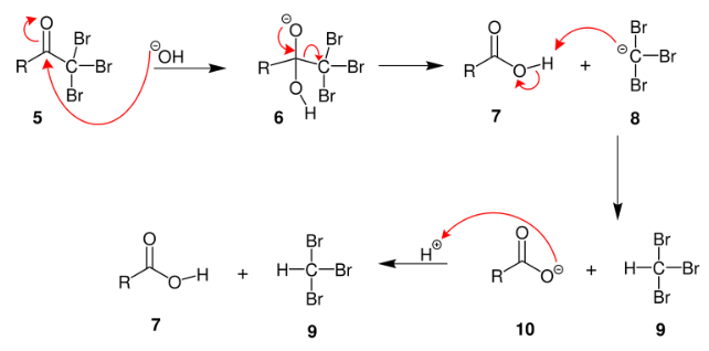
Mechanism
In the first step, the halogen dis-proportionates in the presence of hydroxide to give the halide and hypohalite.

If a secondary alcohol is present, it is oxidized to a ketone by the hypohalite:

If a methyl ketone is present, it reacts with the hypohalite in a three-step process:
1. Under basic conditions, the ketone undergoes keto-enol tautomerisation. The enolate undergoes electrophilic attack by the hypohalite (containing a halogen with a formal +1 charge).

2. When the α (alpha) position has been exhaustively halogenated, the molecule reacts with hydroxide, with -CX3 being the leaving group stabilized by three electron-withdrawing groups. In the third step the -CX3 anion abstracts a proton from either the solvent or the carboxylic acid formed in the previous step, and forms the haloform. At least in some cases (chloral hydrate) the reaction may stop and the intermediate product isolated if conditions are acidic and hypohalite is used.

Tollens' reagent (chemical formula Ag(NH3)2OH) is a chemical reagent used to distinguish between aldehydes and ketones along with some alpha-hydroxy ketones which can tautomerize into aldehydes. The reagent consists of a solution of silver nitrate, ammonium hydroxide and some sodium hydroxide (to maintain a basic pH of the reagent solution). A positive test with Tollens' reagent is indicated by the precipitation of elemental silver, often producing a characteristic "silver mirror" on the inner surface of the reaction vessel.
In a positive test, the diamine silver(I) complex oxidizes the aldehyde to a carboxylate ion and in the process is reduced to elemental silver and aqueous ammonia. The elemental silver precipitates out of solution, occasionally onto the inner surface of the reaction vessel, giving a characteristic "silver mirror". The carboxylate ion on acidification will give its corresponding carboxylic acid. The carboxylic acid is not directly formed in the first place as the reaction takes place under alkaline conditions. The ionic equations for the overall reaction are shown below; R refers to an alkyl group.












