Correct option is A
Particle in a box
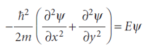
A particle is confined to a rectangular surface of length L1 in the x-direction and L2 in the y-direction; the potential energy is zero everywhere except at the walls, where it is infinite. The wavefunction is now a function of both x and y and the Schrödinger equation is


Writing the wavefunction as a product of functions, one depending only on x and the other only on y:

The first step in the justification of the separability of the wavefunction into the product of two functions X and Y is to note that, because X is independent of y and Y is independent of x, we can write


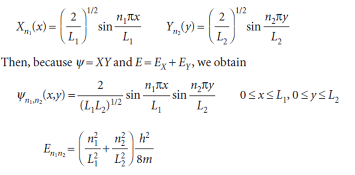
with the quantum numbers taking the values n1 =1, 2, . . . and n2 =1, 2, . . . independently.
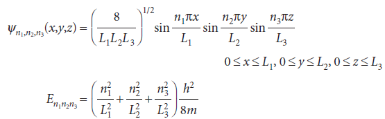
We treat a particle in a three-dimensional box in the same way. The wavefunctions have another factor (for the z-dependence), and the energy has an additional term in

Solution of the Schrödinger equation by the separation of variables technique then gives

In the given question, only those wavefunctions will combine which have similar energy (degenerate).
In option a, substitute
Case 1:nx=1,ny=2,nz=3
Case 2: nx=3,ny=1,nz=2
In both the cases, energy will be the same.



