Correct option is B

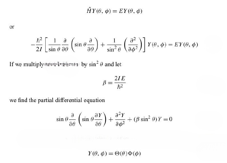
The orientation of a rigid rotator is completely specified by the two angles θ and Φ, so rigid-rotator wave functions depend upon only these two variables. The rigid-rotator wave functions are customarily denoted by

so the Schrodinger equation for a rigid rotator reads






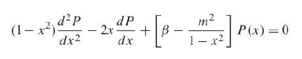
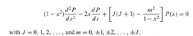
for P(x) is called Legendre's equation and is a well-known equation in classical physics. It occurs in a variety of problems formulated in spherical coordinates.


denotes the magnitude of m, if the solutions are to remain finite.

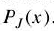
When m = 0, the solutions to above equation are called Legendre polynomials and are denoted by







Because

correspond to the same energy, any linear combination of

is also an energy eigenfunction with the same energy. It is customary to use the combinations









