Correct option is B
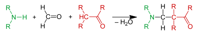
The Mannich reaction is a three-component organic reaction that involves the amino alkylation of an acidic proton next to a carbonyl (C=O) functional group by formaldehyde (H−CHO) and a primary or secondary amine (−NH2) or ammonia (NH3). The final product is a β-amino-carbonyl compound also known as a Mannich base.

The Mannich reaction starts with the nucleophilic addition of an amine to a carbonyl group followed by dehydration to the Schiff base. The Schiff base is an electrophile which reacts in a second step in an electrophilic addition with an enol formed from a carbonyl compound containing an acidic alpha-proton. The Mannich reaction is a condensation reaction. In the Mannich reaction, primary or secondary amines or ammonia react with formaldehyde to form a Schiff base. Tertiary amines lack an N–H proton and so do not react.
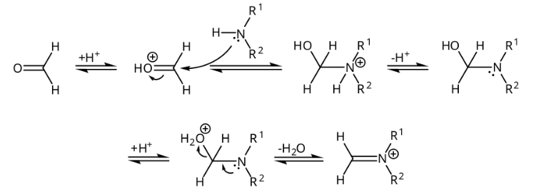
Reaction Mechanism
The mechanism of the Mannich reaction starts with the formation of an iminium ion from the amine and formaldehyde.

The compound with the carbonyl functional group (in this case a ketone) will tautomerize to the enol form, after which it attacks the iminium ion.

[3,3]-sigmatropic rearrangement
A sigmatropic reaction is a pericyclic reaction wherein the net result is one sigma bond (σ-bond) is changed to another σ-bond in an intramolecular reaction. In this type of rearrangement reaction, a substituent moves from one part of a π-system to another part with simultaneous rearrangement of the π-system. True sigmatropic reactions are usually uncatalyzed, although Lewis acid catalysis is possible.
Sigmatropic rearrangements are concisely described by an order term [i,j], which is defined as the migration of a σ-bond adjacent to one or more π systems to a new position (i−1) and (j−1) atoms removed from the original location of the σ-bond.
















