Correct option is D
There are various types of stoichiometric organocopper reagent, the most common being R2CuLi, RCu(CN)Li or R2Cu(CN)Li2. These species have different reactivities and careful choice of the reagent is required. They are prepared in situ and not isolated. For example, a lithium dialkylcuprate species, R2CuLi, often referred to as a Gilman reagent, is most conveniently prepared by reaction of two equivalents of an organolithium compound with copper(I) iodide in diethyl ether.
Perhaps the most widespread use of organocopper reagents is for conjugate addition reactions. Organocopper reagents are soft in nature and, like enolates, give good yields of the 1,4-addition product on reaction with α, β-unsaturated carbonyl compounds. Transfer of the alkyl group to the β-carbon of an α, β-unsaturated ketone usually works well.

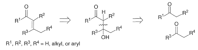
The aldol reaction is one of the most useful methods for the construction of carbon-carbon bonds. The products of aldol reactions are either β-hydroxy carbonyl compounds or, after dehydration, α, β-unsaturated carbonyl compounds. The aldol reaction is useful not only for making C-C bonds, but also for providing two functional groups, the C=O and a β-OH, which can be further elaborated. In the strictest sense, the aldol reaction involves the condensation of an enolate derived from an aldehyde or a ketone with another aldehyde or ketone to give a β-hydroxyaldehyde or a β-hydroxyketone, respectively. In a broader sense, the aldol reaction encompasses reactions of enolates-usually derived from ketones, esters, or amides-with an aldehyde or a ketone.


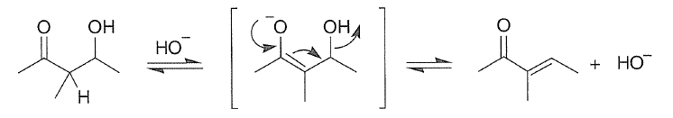
The β-hydroxy aldehydes and β-hydroxy ketones formed in aldol reactions are readily dehydrated to yield conjugated systems.


Ring preference in aldol reaction: 6>5>3>4













