Correct option is A
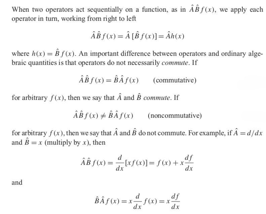
An operator is a symbol that tells you to do something to whatever follows the symbol.
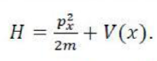
The Schrodinger equation is fundamental equation of quantum mechanics. The solutions to the Schrodinger equation are called wave functions.



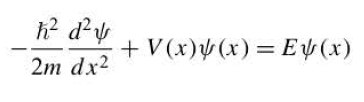
The Schrodinger equation , a differential equation whose solution,

,describes a particle of mass m moving in a potential field described by

.The exact nature of

is vague at this point, but in analogy to the classical wave equation, it is a measure of the amplitude of the matter wave and is called the wave function of the particle.








