Correct option is D
A particle undergoes harmonic motion if it experiences a restoring force proportional to its displacement:

where k is the force constant: the stiffer the ‘spring’, the greater the value of k. Because force is related to potential energy by

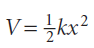
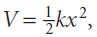
the force corresponds to a potential energy

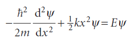
This expression, which is the equation of a parabola, is the origin of the term ‘parabolic potential energy’ for the potential energy characteristic of a harmonic oscillator. The Schrödinger equation for the particle is therefore

The above equation is a standard equation in the theory of differential equations and its solutions are well known to mathematicians. Quantization of energy levels arises from the boundary conditions: the oscillator will not be found with infinitely large compressions or extensions, so the only allowed solutions are those for which

The permitted energy levels are

Note that ω (omega) increases with increasing force constant and decreasing mass. It follows that the separation between adjacent levels is

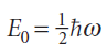
which is the same for all v. Therefore, the energy levels form a uniform ladder of spacing ℏω. The energy separation ℏω is negligibly small for macroscopic objects (with large mass), but is of great importance for objects with mass similar to that of atoms. Because the smallest permitted value of v is 0, it follows from the above equation that a harmonic oscillator has a zero-point energy

The mathematical reason for the zero-point energy is that v cannot take negative values, for if it did the wavefunction would be ill-behaved. The physical reason is the same as for the particle in a square well: the particle is confined, its position is not completely uncertain, and therefore its momentum, and hence its kinetic energy, cannot be exactly zero. We can picture this zero-point state as one in which the particle fluctuates incessantly around its equilibrium position; classical mechanics would allow the particle to be perfectly still.
Property of oscillators
We can calculate the expectation values of an observable Ω by evaluating integrals of the type

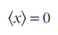
For instance, we show in the following example that the mean displacement, <x>, of the oscillator when it is in the state with quantum number v is

The result for <x> shows that the oscillator is equally likely to be found on either side of x = 0 (like a classical oscillator).
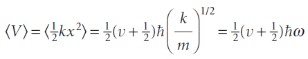
The mean potential energy of an oscillator, the expectation value of

can be calculated very easily:

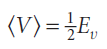
Because the total energy in the state with quantum number v is

it follows that

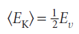
The total energy is the sum of the potential and kinetic energies, so it follows at once that the mean kinetic energy of the oscillator is

The result that the mean potential and kinetic energies of a harmonic oscillator are equal (and therefore that both are equal to half the total energy) is a special case of the virial theorem:
If the potential energy of a particle has the form

then its mean potential and kinetic energies are related by












