Correct option is B
A particle is confined to a rectangular surface of length L1 in the x-direction and L2 in the y-direction; the potential energy is zero everywhere except at the walls, where it is infinite. The wavefunction is now a function of both x and y and the Schrödinger equation is


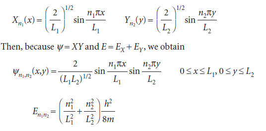
Writing the wavefunction as a product of functions, one depending only on x and the other only on y:

The first step in the justification of the separability of the wavefunction into the product of two functions X and Y is to note that, because X is independent of y and Y is independent of x, we can write


with the quantum numbers taking the values n1 =1, 2, . . . and n2 =1, 2, . . . independently.
Degeneracy

We see that, although the wavefunctions are different, they are degenerate, meaning that they correspond to the same energy. In this case, in which there are two degenerate wavefunctions, we say that the energy level 5( h2/8 mL2) is ‘doubly degenerate’.





