Correct option is B
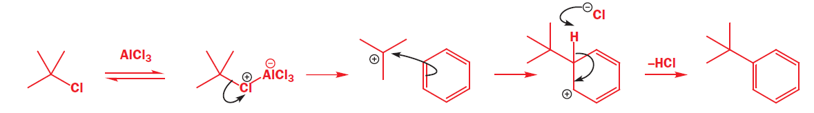
The Friedel–Crafts alkylation usually involves treating benzene with a t-alkyl chloride and the Lewis acid AlCl3.AlCl3 removes the chlorine atom from t-BuCl and releases the t-Bu cation for the alkylation reaction.

The OH group is said to be ortho, para-directing towards electrophiles. In phenol it is the ortho and para positions that are electron-rich (and, of course, the oxygen itself).














