Correct option is D
The key to solving this question lies in interpreting the energy profile diagram. According to the diagram, Q has a lower activation energy pathway, meaning that Q is the product that forms faster during the reaction.
Activation energy is the minimum amount of energy that must be available to reactants for a chemical reaction to occur. The activation energy (Ea) of a reaction is measured in kilojoules per mole (kJ/mol) or kilocalories per mole (kcal/mol). Activation energy can be thought of as a magnitude of the potential barrier (sometimes called the energy barrier) separating minima of the potential energy surface pertaining to the initial and final thermodynamic state. For a chemical reaction to proceed at a reasonable rate, the temperature of the system should be high enough such that there exists an appreciable number of molecules with translational energy equal to or greater than the activation energy.
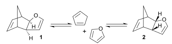
Thermodynamic reaction control or kinetic reaction control in a chemical reaction can decide the composition in a reaction product mixture when competing pathways lead to different products and the reaction conditions influence the selectivity or stereoselectivity. The distinction is relevant when product A forms faster than product B because the activation energy for product A is lower than that for product B, yet product B is more stable. In such a case A is the kinetic product and is favoured under kinetic control and B is the thermodynamic product and is favoured under thermodynamic control.
The Diels–Alder reaction of cyclopentadiene with furan can produce two isomeric products. At room temperature (ambient conditions), kinetic reaction control prevails and the less stable endo isomer 2 is the main reaction product. At 81 °C and after long reaction times, the chemical equilibrium can assert itself and the thermodynamically more stable exo isomer 1 is formed. The exo product is more stable by virtue of a lower degree of steric congestion, while the endo product is favoured by orbital overlap in the transition state.











