Correct option is C
A pure protein is monodisperse, meaning that it has a single, definite molar mass (although there may be small variations, such as one amino acid replacing another, depending on the source of the sample). A synthetic polymer, however, is polydisperse, in the sense that a sample is a mixture of molecules with various chain lengths and molar masses. The various techniques that are used to measure molar masses result in different types of mean values of polydisperse systems.

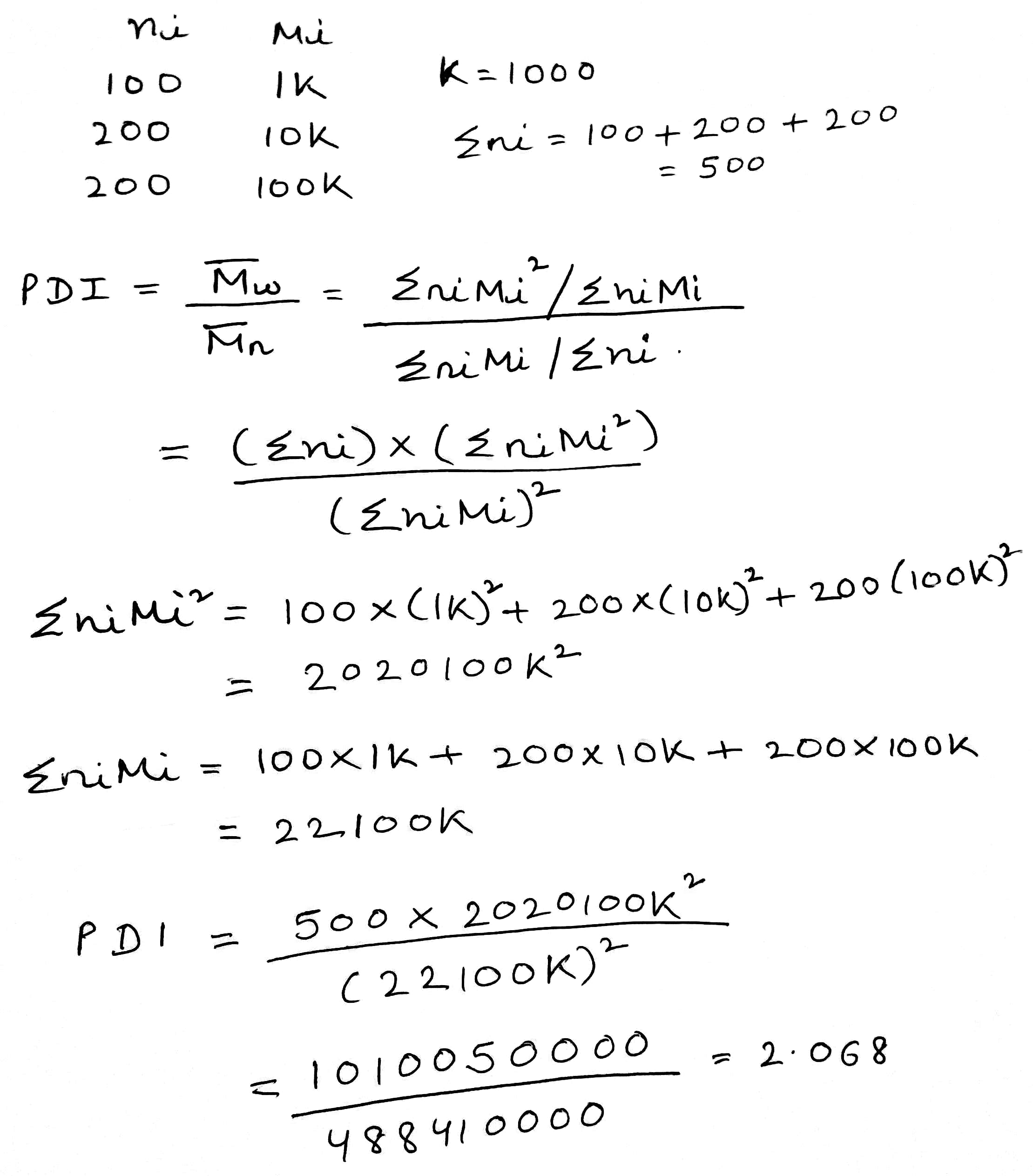
where Ni is the number of molecules with molar mass Mi and there are N molecules in all.
Light scattering experiments give the weight-average molar mass,

The weight-average molar mass is the average calculated by weighting the molar masses of the molecules by the mass of each one present in the sample:

The ratio

is called the heterogeneity index (or ‘polydispersity index’). In the determination of protein molar masses we expect the various averages to be the same because the sample is monodisperse (unless there has been degradation). A synthetic polymer normally spans a range of molar masses and the different averages yield different values. Typical synthetic materials have

The term ‘monodisperse’ is conventionally applied to synthetic polymers in which this index is less than 1.1; commercial polyethylene samples might be much more heterogeneous, with a ratio close to 30.










