Correct option is A
When each value in a dataset is increased by a constant (here, 12), the following effects occur:
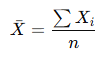
Mean Effect: The mean of a dataset is given by:

If we add 12 to each value in the dataset, then:

Hence, the mean increases by 12.
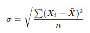
Standard Deviation Effect: The standard deviation measures the dispersion of data points from the mean and is given by:

Since each value increases by 12, the difference Xi - X̄ remains the same, so standard deviation does not change.
Coefficient of Variation (C.V.) Effect: The coefficient of variation is defined as:

Since the standard deviation remains unchanged, but the mean increases, the C.V. actually decreases, meaning option (3) is incorrect.
No Change in C.V.: Since C.V. depends on the mean and standard deviation, and the mean has changed, the C.V. cannot remain the same. Thus, option (4) is incorrect.
Information Booster:
- Mean Shift Property: When a constant is added to each data point, the mean shifts by the same constant, while dispersion-related measures remain unchanged.
- Effect on Variance & Standard Deviation: Both variance and standard deviation remain the same because the relative distances between data points do not change.
- Effect on Median & Mode: The median and mode also increase by the same constant as the mean when a constant is added to all values.
- Application in Statistics: This property is often used in data normalization and transformations, particularly in standardization techniques.
Additional Knowledge:
(2) Increase the standard deviation by 12.
- Standard deviation measures how spread out the data is from the mean. Since the difference Xi−XˉX_i - \bar{X}Xi−Xˉ does not change, standard deviation remains unchanged.
- Adding a constant shifts all data points by the same amount, keeping their relative differences the same.
(3) Increase the coefficient of variation by 12.
- Coefficient of variation (C.V.C.V.C.V.) is dependent on the ratio of standard deviation to mean.
- Since standard deviation remains the same but the mean increases, C.V. actually decreases instead of increasing.
(4) No change in the value of the coefficient of variation.
- Since the mean increases while the standard deviation remains constant, the C.V. must change.
- This contradicts the statement that there is no change, making this option incorrect.