Correct option is C
Multilayer Adsorption
The adsorption of gases on the surface of an adsorbent is no more monolayer at high pressures and low temperatures. At high pressure, the number of molecules striking per unit area of the surface per unit time is quite high. On the other hand, at low temperature the thermal energy of molecules is not sufficiently large to overcome the forces of attraction (van der Waals forces of attraction) between the adsorbed molecule and nearby unadsorbed molecule. This results into the multilayer adsorption, i.e. more than one layer of molecules is adsorbed at the surface. The formation of multilayer is very much enhanced as the pressure of the gas reaches near to the saturation vapour pressure of the liquefied adsorbent at the given experimental temperature.
The adsorption isotherms shown in figure have been interpreted by Brunauer, Emmett and Teller on the basis of formation of multilayer. They derived a theoretical expression, known as BET adsorption isotherm. While deriving the expression, it was assumed that interactions amongst the adsorbed molecules in the adsorption layer along the adsorbent surface are neglected.

where G,S,GS,G2S,....,represent, respectively, the unadsorbed gaseous molecule, the vacant site of the adsorbent surface, single molecule adsorbed per vacant site, two molecules adsorbed per vacant site and so on.




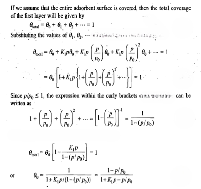
The value of constant K1 is usually very large as compared to the rest of the equilibrium constants. The reason for this is that the interaction between the adsorbate and the adsorbent decreases very rapidly as the distance from the surface is increased. The remaining constants K2,K3,...., etc. though will not have the same values, but the difference between any two constants is generally much smaller than that between K1 and K2. It is for this reason, it can assumed that





The five isotherms shown in figure can be explained on the basis of BET equation as described below.
Type I:This type of adsorption is obtained whenever p/po « 1 and C» 1. The adsorption in the present case is monolayer.
Type II: This type of adsorption is observed when C is considerably greater than one or, in other words,

is greater than

.The intermediate flattish portion corresponds to the formation of monolayer.
Type III: This type of adsorption is observed when C is considerably smaller than one, or in the other words,

is less than

. There is no intermediate flattish portion indicating that the formation of multilayer takes place from the very beginning.
Type IV: In the lower pressure region, the shape of the adsorption is very similar to that observed in the type II indicating the formation of monolayer followed by the development of multilayer. The essential condition of

being greater than

is still satisfied. However, the shape of the adsorption as P→ Po differs from that observed in type II. In the present case, the adsorption reaches a limit at pressures well below the saturation vapour pressure. This has been explained on the basis of multilayer formation along with the possibility of filling the capillary pores as a result of condensation of the adsorbate at pressures appreciably below the saturation vapour pressure.
Type V: Again, the lower portion of the diagram in this case is very similar to that observed in the type III indicating that

is less than

. The higher portion is identical to that of type IV indicating the saturation in adsorption at pressures below the saturation vapour pressure. This has been again explained on the basis of filling the capillary pores as a result of condensation of the adsorbate at pressures appreciably below the saturation vapour pressure.





