Correct option is D
The Pinnick oxidation is an organic reaction by which aldehydes can be oxidized into their corresponding carboxylic acids using sodium chlorite (NaClO2) under mild acidic conditions. It was originally developed by Lindgren and Nilsson. There exist many different reactions to oxidize aldehydes, but only a few are amenable to a broad range of functional groups. The Pinnick oxidation has proven to be both tolerant of sensitive functionalities and capable of reacting with sterically hindered groups.

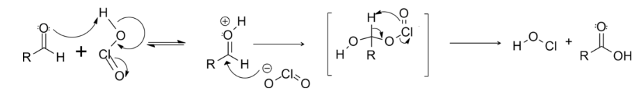
The proposed reaction mechanism involves chlorous acid as the active oxidant, which is formed under acidic conditions from chlorite.

First, the chlorous acid adds to the aldehyde. Then resulting structure undergoes a pericyclic fragmentation in which the aldehyde hydrogen is transferred to an oxygen on the chlorine, with the chlorine group released as hypochlorous acid (HOCl).

The HOCl byproduct, itself a reactive oxidizing agent, can be a problem in several ways. It can destroy the NaClO2 reactant:

making it unavailable for the desired reaction. It can also cause other undesired side reactions with the organic materials. For example, HOCl can react with double bonds in the organic reactant or product via a halohydrin formation reaction.
To prevent interference from HOCl, a scavenger is usually added to the reaction to consume the HOCl as it is formed. For example, one can take advantage of the propensity of HOCl to undergo this addition reaction by adding a sacrificial alkene-containing chemical to the reaction mixture. This alternate substrate reacts with the HOCl, preventing the HOCl from undergoing reactions that interfere with the Pinnick reaction itself. 2-Methyl-2-butene is often used in this context:

Resorcinol and sulfamic acid are also common scavenger reagents.






