hamburger menu
All Coursesall course arrow
adda247
reward-icon
adda247
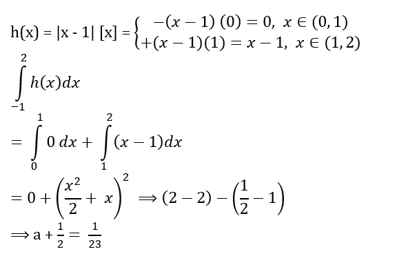
    Question


    What is equal to?

    A.


    B.

    -1

    C.

    0

    D.

    1/2

    Correct option is D




    Free Tests

    Free
    Must Attempt

    Set Theory

    languageIcon English
    • pdpQsnIcon10 Questions
    • pdpsheetsIcon10 Marks
    • timerIcon10 Mins
    languageIcon English
    Free
    Must Attempt

    AAI Junior Executive (ATC) Mock 1

    languageIcon English
    • pdpQsnIcon120 Questions
    • pdpsheetsIcon120 Marks
    • timerIcon120 Mins
    languageIcon English
    Free
    Must Attempt

    Indian Air Force AFCAT II 2025 Mock 01

    languageIcon English
    • pdpQsnIcon100 Questions
    • pdpsheetsIcon300 Marks
    • timerIcon120 Mins
    languageIcon English
    test-prime-package

    Access ‘NDA and NA’ Mock Tests with

    • 60000+ Mocks and Previous Year Papers
    • Unlimited Re-Attempts
    • Personalised Report Card
    • 500% Refund on Final Selection
    • Largest Community
    students-icon
    383k+ students have already unlocked exclusive benefits with Test Prime!
    Our Plans
    Monthsup-arrow