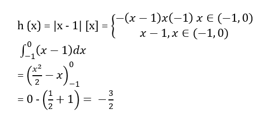
Question


What is equal to?

A.


B.

-1

C.

0

D.

1/2

Correct option is A



Free Tests

Free
Must Attempt

Set Theory

languageIcon English
  • pdpQsnIcon10 Questions
  • pdpsheetsIcon10 Marks
  • timerIcon10 Mins
languageIcon English
Free
Must Attempt

AAI Junior Executive (ATC) Mock 1

languageIcon English
  • pdpQsnIcon120 Questions
  • pdpsheetsIcon120 Marks
  • timerIcon120 Mins
languageIcon English
test-prime-package

Access ‘NDA and NA’ Mock Tests with

  • 60000+ Mocks and Previous Year Papers
  • Unlimited Re-Attempts
  • Personalised Report Card
  • 500% Refund on Final Selection
  • Largest Community
students-icon
398k+ students have already unlocked exclusive benefits with Test Prime!
test-prime-package

Access ‘NDA and NA’ Mock Tests with

  • 60000+ Mocks and Previous Year Papers
  • Unlimited Re-Attempts
  • Personalised Report Card
  • 500% Refund on Final Selection
  • Largest Community
students-icon
398k+ students have already unlocked exclusive benefits with Test Prime!
Our Plans
Monthsup-arrow