Correct option is D
If two observables A and B have linear operators

, the commutator is defined by,

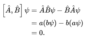
The commutator is itself a (composite) operator. Acting the commutator on ψ gives:

If ψ is an eigenfunction with eigenvalues a and b for observables A and B respectively, and if the operators commute:

then the observables A and B can be measured simultaneously with infinite precision, i.e., uncertainties ΔA=0

, ΔB=0simultaneously. ψ is then said to be the simultaneous eigenfunction of A and B. To illustrate this:

It shows that measurement of A and B does not cause any shift of state, i.e., initial and final states are same (no disturbance due to measurement). Suppose we measure A to get value a. We then measure B to get the value b. We measure A again. We still get the same value a. Clearly the state ( ψ) of the system is not destroyed and so we are able to measure A and B simultaneously with infinite precision.
If the operators do not commute:



