Correct option is C

z0z_0
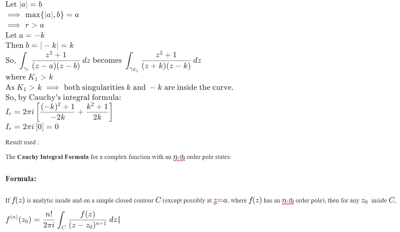
Let a,b be two real numbers such that a < 0 < b . For a positive real number r , define


z0z_0
If ,
Which of the following statements is necessarily true ?
Let f be a holomorphic function on the disc
Assume that the only zero of f in the closed unit disc
is a simple zero at the origin. Let be the positively oriented circle
The integral equals ?
Let p be a positive integer. Consider theclosed curve .
Let f be afunction holomorphic in whereR >1. If f has a zero only at ,and it is of multiplicity q , then equals?

Let C be a positively oriented circle in the complex plane of radius 3 centered at the origin.
What is the value of the integral:


Let a,b be two real numbers such that a < 0 < b . For a positive real number r , define
