Question

​​​

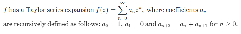
A.

f is an entire function.

​​​

B.

f has a simple pole at z = 0.

​​​

C.

​​​

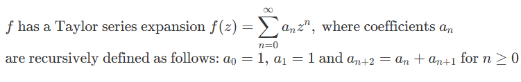
D.

​​​

Correct option is D

Recurrence RelationMultiply both sides of the series expansion f(z)(1zz2)=1:(n=0anzn)(1zz2)=1.Expand the product:n=0anznn=0anzn+1n=0anzn+2=1.Reindex the second and third terms to align powers of zn:In the second term: replace nn1, giving n=1an1zn,In the third term: replace nn2, giving n=2an2zn.The equation becomes:a0+(a1a0)z+n=2(anan1an2)zn=1.For this to hold for all powers of z, the coefficients must satisfy:a0=1,a1a0=0 a1=a0=1,For n2:an=an1+an2.\textbf{Recurrence Relation} \\\text{Multiply both sides of the series expansion } f(z)(1 - z - z^2) = 1: \\\left( \sum_{n=0}^\infty a_n z^n \right)(1 - z - z^2) = 1. \\\text{Expand the product:} \\\sum_{n=0}^\infty a_n z^n - \sum_{n=0}^\infty a_n z^{n+1} - \sum_{n=0}^\infty a_n z^{n+2} = 1. \\\text{Reindex the second and third terms to align powers of } z^n: \\\text{In the second term: replace } n \to n-1, \text{ giving } \sum_{n=1}^\infty a_{n-1} z^n, \\\text{In the third term: replace } n \to n-2, \text{ giving } \sum_{n=2}^\infty a_{n-2} z^n. \\\text{The equation becomes:} \\a_0 + (a_1 - a_0)z + \sum_{n=2}^\infty (a_n - a_{n-1} - a_{n-2})z^n = 1. \\\text{For this to hold for all powers of } z, \text{ the coefficients must satisfy:} \\a_0 = 1, \\a_1 - a_0 = 0 \implies a_1 = a_0 = 1, \\\text{For } n \geq 2: \quad a_n = a_{n-1} + a_{n-2}.

​​​​

test-prime-package

Access ‘CSIR NET- GENERAL APTITUDE’ Mock Tests with

  • 60000+ Mocks and Previous Year Papers
  • Unlimited Re-Attempts
  • Personalised Report Card
  • 500% Refund on Final Selection
  • Largest Community
students-icon
383k+ students have already unlocked exclusive benefits with Test Prime!
test-prime-package

Access ‘CSIR NET- GENERAL APTITUDE’ Mock Tests with

  • 60000+ Mocks and Previous Year Papers
  • Unlimited Re-Attempts
  • Personalised Report Card
  • 500% Refund on Final Selection
  • Largest Community
students-icon
383k+ students have already unlocked exclusive benefits with Test Prime!
Our Plans
Monthsup-arrow