The Chhattisgarh Public Service Commission (CGPSC) has announced the CGPSC Prelims Result 2026 on 25 March 2026, along with the cutoff on its official website, psc.cg.gov.in. The CGPSC State Service Prelims Exam 2026 was held on 22 February 2026 at multiple examination centres across the state.
Candidates who appeared for the exam can now download the CGPSC SSE Prelims Result 2026 merit list PDF and check their qualifying status online. This article provides the latest updates on the result, the steps to download the merit list, and details about the next stage of the selection process and the Mains exam date.
CGPSC Prelims Result 2026 Out
The Chhattisgarh Public Service Commission has declared the State Service (Prelims) Result 2025 on March 25, 2026. A total of 3,921 candidates have qualified for the Mains Examination. Candidates can check their results at www.psc.cg.gov.in. The CGPSC Prelims Result 2026 is an important stage in the recruitment process, as it determines which candidates will qualify for the CGPSC SSE Mains Examination.
CGPSC SSE Prelims Result 2026-Overview
The table also outlines the complete selection process, including the preliminary exam, mains examination, interview stage, and final merit list preparation. This information helps candidates quickly understand the recruitment timeline and stages of the CGPSC SSE 2026 examination.
| CGPSC SSE Result 2026-Key Highlights |
|
Important Details
|
|
Important Dates
|
|
Selection Process
|
CGPSC Prelims Result 2026 Download PDF
The CGPSC Result 2026 download link has been activated on the official Chhattisgarh Public Service Commission website. The result is available online only and can be accessed through the candidate login portal. There is no offline mode to obtain the result. Candidates should visit the official website and enter their roll number or required login details to check their qualifying status. A direct link to download the merit list PDF has been provided below for easy access.
CGPSC Prelims Result 2026 Link – Download PDF
Steps To Download the CGPSC Pre Result 2026
Candidates can easily download the CGPSC Pre Result 2026 from the official website once it is released. The result is available in PDF format, and applicants must check their roll number to confirm qualification for the next stage. Follow the steps below to access the result without any difficulty.
- Go to the official CGPSC website at psc.cg.gov.in
- On the homepage, click the link for CGPSC Preliminary Result 2026
- The result PDF will open on the screen
- Press Ctrl + F to search for your roll number
- Download and save the PDF for future reference
- Take a printout to use in the next stage of the selection process
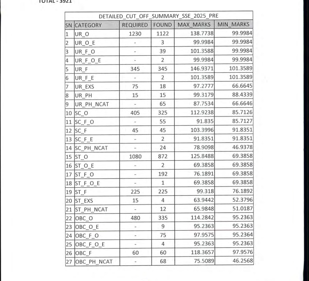
Category-Wise Cut-Off Marks
The Chhattisgarh Public Service Commission has released the category-wise and sub-category-wise cut-off marks along with the preliminary examination result. Candidates must score equal to or above the cut-off marks to qualify for the Mains Examination.
The cut-off marks have been determined based on the availability of candidates in each category and the total number of vacancies (265). The final cut-off marks for the Preliminary Examination are as follows:

Mains Examination Date
The Chhattisgarh Public Service Commission has announced the dates for the State Service Mains Examination 2025. The Mains Exam will be held on May 16, 17, 18, and 19, 2026. A total of 3,921 candidates who qualified in the Prelims are eligible to appear for this exam. Qualified candidates must fill an online application for the Mains Examination separately. Detailed instructions regarding the application process will be issued soon by the Commission.
Details Mentioned on CGPSC Prelims Result 2026
After downloading the CGPSC Result 2026 for prelims examination, candidates must carefully check all details in the merit list or result PDF to ensure they are correct. Verifying these details is important to confirm qualification and prevent any issues in the next stage of the selection process.
- Roll Number
- Name
- Category
- Marks/Score (if provided)
- Qualifying Status
- Cut-off Marks
- Exam Name and Year
What’s The Next Step After the CGPSC Pre Result 2026
After the CGPSC Prelims Result 2026 is declared, candidates who qualify in the Preliminary Examination will be eligible to appear for the Mains Examination, which is the next stage of the selection process. The prelims serve only as a screening test, so marks obtained in this stage are not counted in the final merit. Candidates who clear the Mains exam will be called for the interview/personality test, followed by document verification. The final merit list will be prepared based on performance in the Mains and interview stages.


Delhi Police Constable Result 2026 (Out ...
RRB Paramedical Result 2026 Out Soon, Ch...
CCRAS Result 2026 Out for Group A, B, C ...




Adda247 Job portal has complete information about all Sarkari Jobs and Naukri Alerts, its latest recruitment notifications, from all state and national level jobs and their updates.