Correct option is A
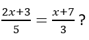
3(2x+3) = 5(x+7)
6x+9 = 5x+35
6x-5x = 35 – 9
x = 26
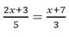
3(2x+3) = 5(x+7)
6x+9 = 5x+35
6x-5x = 35 – 9
x = 26
The cost of 2 pens and 5 pencils is ₹ 57. If the cost of a pen is increased by ₹ 1.50 and that of a pencil is decreased by ₹ 1, then the cost of 5 pens and 3 pencils is ₹ 109. What is the original cost of 3 pens and 4 pencils?
The cost of 18 pens and 4 pencils is ₹200. If the cost of a pen decreases by Rs. 1 and the cost of a pencil increases by Rs. 3, then the cost of 19 pens and 3 pencils is Rs. 151. What is the original cost of 12 pens and 10 pencils?
If 24 is subtracted from three times an unknown number, the difference is 258. What is the unknown number?
Kamlesh buys some sarees and suits for ₹10,000. The cost of each saree is ₹1,500, and the cost of each suit is ₹1,000. The total number of sarees and suits is 8. Find the number of suits and sarees.
If 25% of a number is added to 78, then the result is the same number. 80% of the same number is:
Factors of the , is
Three chairs and two tables cost ₹1,850. Five chairs and three tables cost ₹2,850. Find the cost of two chairs and two tables.
Find the value of Y, if X− 2Y + 2Z = 16, X − Y + Z = 9 and 2X − 3Y − Z = 9.
Find the value of x in the equation
Suggested Test Series
Suggested Test Series