Correct option is D
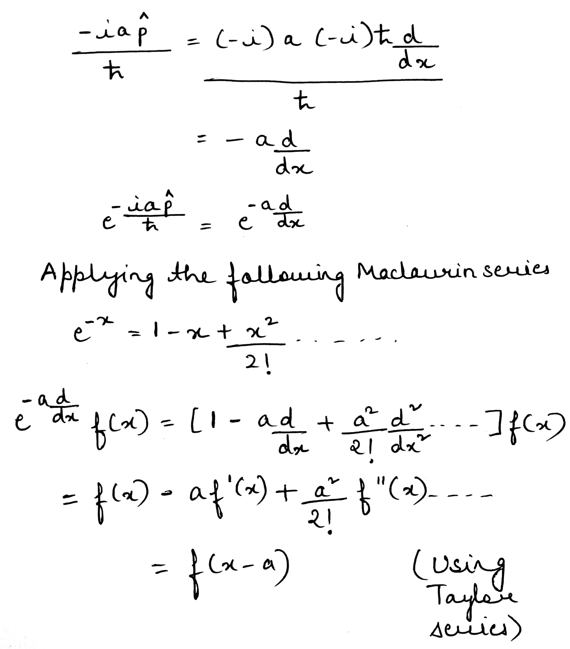
The Taylor series of a function is an infinite sum of terms that are expressed in terms of the function's derivatives at a single point. For most common functions, the function and the sum of its Taylor series are equal near this point. A Taylor series is also called a Maclaurin series when 0 is the point where the derivatives are considered.


An operator is a symbol that tells you to do something to whatever follows the symbol.








