Correct option is A
To calculate the specific resistance (resistivity) of the copper wire, we can use the formula:
Where:
· R is the resistance (21 Ω)
· L is the length of the wire (200 m)
· A is the cross-sectional area of the wire
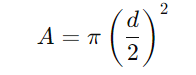
The cross-sectional area AAA for a wire with a circular cross-section is given by:
Given:
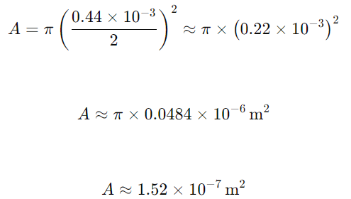
· Diameter d=0.44 mm=0.44×10−3 m
· L=200 m
· R=21 Ω
First, calculate the area A:
Now, calculate the resistivity ρ:
The correct answer is (a) 1.6 × 10^-8 Ω-m.
