Correct option is B

No relation can be established between x and y.
Solve the given quadratic equations and mark the correct option

No relation can be established between x and y.
I. 2x2 + 19x + 42 = 0
II. 2y2 + 7y + 5 = 0
I. 6x2 – 7x + 2 = 0
II. 10y2 – 11y + 3 =0
I. 2x2 – 9x +10 = 0
II. y2 – 12y+ 35 = 0
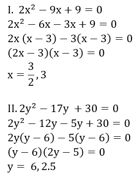
I.
II.
I. x² – 15x + 50 = 0
II. y² – 12y + 35 = 0

Suggested Test Series
Suggested Test Series