Correct option is D
Solution:

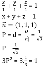
If p is the perpendicular distance from origin to the plane passing through (1, 0, 0), (0, 1, 0) and (0, 0, 1), then what is 3p2 equal to?
Solution:

The point (a, b, 0) lie on:
Find the angle between the planes and .
If a line makes an angle of 60°, 135°, 120° with the positive x, y, z-axis, respectively, then find the direction cosines.
The equation of the plane that passes through (1, -1 2) and has direction ratios (1, 2, 3) is:
Find the distance between two points (2, 6, 5) and (2, 3, 9).
Which of the following represents direction cosines of the line?
Find mid point of (4, 3, 6) and (6, 5, 12).
If P (2, 3, 4), Q (5, 8, 7) and R (-1, -2, 1) are collinear, then R divides PQ in the ratio:
Suggested Test Series
Suggested Test Series