Correct option is D
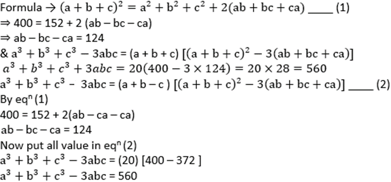
Given:
(a + b - c) = 20,
a² + b² + c² = 152
Need to find; a³ + b³ - c³ + 3abc
Formula Used:
Solution:


Which one of the following pairs is not correctly matched?
The sum of the squares of two numbers is 545 and the square of their difference is 1. Find the product of the two numbers.
If and xy = 4 , find the value of .
The value of is
(x + y + 2z)(x + y) can be expressed as
If , then is:
If , find .
Write the expanded form of
Write the expanded form of
Find the square root of
Suggested Test Series
Suggested Test Series