Correct option is E
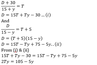
Let the speed of the current be y km/hr
ATQ,

Can’t solve further so, Can’t be determined.
A boat covers (D+30) km downstream in T hours and the same boat covers D km upstream in (T+5) hours. If the speed of the boat in still water is 15 km/h, then find the speed of the stream (in km/hr).
Let the speed of the current be y km/hr
ATQ,

Can’t solve further so, Can’t be determined.
Manoj travels from City A to City B. If Manoj drives his car at of his normal speed, then he reaches City B 36 minutes late. Find the time (in minutes) that Manoj would have taken to travel from City A to City B if he drove at his normal speed.
A person can complete a journey in 10 hours. He covers the first one-third part of the journey at the rate of 28 km/h and the remaining distance at the rate of 84 km/h. What is the total distance of his journey?
A person walks at a speed of 2 km/hr and reaches a destination in 4 hours. If the person increases the speed by 3 km/hr, how much earlier will they reach the destination?
A person walks at a speed of 3 km/hr and reaches a destination in 7 hours. If the person increases the speed by 1 km/hr, how much earlier will they reach the destination
A 266 m long train passes through a 559 m long tunnel in 66 sec. Find the speed of the train.
A car covers a certain distance in 8 hours at a uniform speed. If the speed of the car is increased by 5 km/hr, then the same distance could have been covered in 7 hours 30 minutes. What is the distance covered?
Suggested Test Series
Suggested Test Series