Correct option is D
Given:
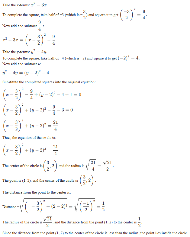
The equation of the circle is:
We need to determine the position of the point (1, 2) with respect to this circle.
Concept Used:
If result = 0 → Point lies on the circle
If result < 0 → Point lies inside the circle
If result > 0 → Point lies outside the circle
Solution:
Substitute x = 1, y = 2 into the equation:
Since result < 0, the point lies inside the circle.
Alternate Method:
Formula Used:
The general form of the equation of a circle is:
Where (h, k) is the center and r is the radius.
Solution:
Start with the equation of the circle:
