Correct option is B
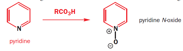
Pyridine can be oxidized to pyridine N-oxide with reagents such as m-CPBA or just H2O2 in acetic acid. These N-oxides are stable dipolar species with the electrons on oxygen delocalized round the pyridine ring, raising the HOMO of the molecule.







