hamburger menu
All Coursesall course arrow
adda247
reward-icon
adda247
    arrow
    arrow
    arrow
    The critical temperature value obtained from van der Waals equation is
    Question



    The critical temperature value obtained from van der Waals equation is

    A.

    a/Rb

    B.

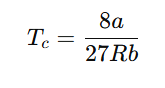
    8a/27Rb

    C.

    a/27b2

    D.

    More than one of the above

    E.

    None of the above

    Correct option is B


    The correct critical temperature Tc​ derived from the van der Waals equation is:

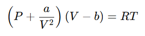
    Explanation: The van der Waals equation of state for real gases is:

    Critical constants are obtained by solving the following conditions at the critical point:

    Information Booster:
    1. The van der Waals equation extends the ideal gas law to include the non-zero size of gas molecules and the interactions between them (both of which depend on the specific substance). 
    2. Critical temperature (Tc) is the temperature above which a gas cannot be liquefied regardless of pressure.
    3. R is the universal gas constant (8.314 JK-1mol-1)
    4. aa and b bare experimentally determinable, substance-specific constants. The constant aa expresses the strength of the molecular interactions. The constant bb denotes an excluded molar volume.

    Free Tests

    Free
    Must Attempt

    DSSSB PRT Full Mock - 01

    languageIcon English
    • pdpQsnIcon200 Questions
    • pdpsheetsIcon200 Marks
    • timerIcon120 Mins
    languageIcon English
    Free
    Must Attempt

    Educational Psychology & Pedagogy - 01

    languageIcon English
    • pdpQsnIcon20 Questions
    • pdpsheetsIcon20 Marks
    • timerIcon15 Mins
    languageIcon English
    Free
    Must Attempt

    DSSSB PRT PYP Held on 7th March 2022 Shift 1

    languageIcon English
    • pdpQsnIcon200 Questions
    • pdpsheetsIcon200 Marks
    • timerIcon120 Mins
    languageIcon English

    Similar Questions

    test-prime-package

    Access ‘BPSC TRE (11-12)’ Mock Tests with

    • 60000+ Mocks and Previous Year Papers
    • Unlimited Re-Attempts
    • Personalised Report Card
    • 500% Refund on Final Selection
    • Largest Community
    students-icon
    368k+ students have already unlocked exclusive benefits with Test Prime!
    Our Plans
    Monthsup-arrow