Correct option is B
Given CI for 2 years at 10% is Rs. 525.
CI formula:

Now, for Simple Interest at 5% for 4 years:

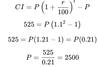
The compound interest on a certain sum for 2 years at 10% per annum is Rs. 525. The simple interest on the same sum for double the time at half the rate percent per annum is :
Given CI for 2 years at 10% is Rs. 525.
CI formula:

Now, for Simple Interest at 5% for 4 years:

What sum (in ₹) will earn a simple interest of ₹840 in 3 years at 20% per year rate of interest?
On an amount of ₹2,00,000, a bank gives ₹1,04,175 as interest in 3 years. If the interest is compounded annually, then what is the interest rate per annum?
Navjot invested a sum of ₹48,800 at 10% per annum for 1 year on compound interest (interest is compounded half-yearly). Find the amount received by him.
Simple interest of ₹375 is obtained on a sum of money for a period of 3 years at a rate of 2% per annum. Find the sum (in ₹).
The amount doubles itself under Compound interest in 15 years. In how many years will it become 256 times of itself at the same rate of interest?
A sum amounts to ₹ 9075 in years at 15% p.a, interest compounded 8-monthly. What is the simple interest (in ₹) on the same sum for the same period and at the same rate of interest ?
The rates of simple interest in two Nationalized banks are in the ratio 3:2. Rani wants to deposit her total savings in two banks in such a way that she receives equal quarterly interest from both. She should deposit the savings in bank A and B in the ratio
In how much time will a sum of money ₹7500 earn an interest of ₹150 at the rate of 4% per annum simple interest?
A loan of ₹21600 is to be paid back in two equal annual instalments. If the rate of interest is 16% p.a. compounded yearly, then the total interest charged is
Suggested Test Series
Suggested Test Series