Correct option is A
Given:
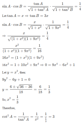
Concept Used:
Solution:

Alternate Method:

Since, A + B = 90 as ABC is a triangle
A = 90 - B
sin A = sin (90 - B)
sin A = cos B
So,
sin2 A =
sin A =
A = 30
Then, cot2 A = cot 230=
In a right angle triangle ABC, , if sinA cosB = and 3tanA = tanB, then is equal to:
Given:
Concept Used:
Solution:

Alternate Method:

Since, A + B = 90 as ABC is a triangle
A = 90 - B
sin A = sin (90 - B)
sin A = cos B
So,
sin2 A =
sin A =
A = 30
Then, cot2 A = cot 230=
Simplify: cosecθ(1 – cosθ)(cosecθ + cotθ)
If cot A + cos A = p, cot A - cos A = q, then what is the value of p2- q2?
What is the value of sin 20° cos 10° + cos 20° sin 10°?
If sin x = and x ∈ (0, ), then find
Find the value of
If sin θ + cos θ = √3, then the value of tan θ + cot θ is:
If , then the value of the expression is:
If then the value of tan5θ is:
The value of the expression is:
The value of
Suggested Test Series
Suggested Test Series