Correct option is D
Given:
t = cos 79°
Formula Used:
sin2θ + cos2θ = 1
a2 - b2 = (a - b)(a + b)
Solution:
cosec 79°cosec 79° (1 - cos 79°)

If t = cos 79°, then what is cosec 79° (1 - cos 79°) equal to ?
Given:
t = cos 79°
Formula Used:
sin2θ + cos2θ = 1
a2 - b2 = (a - b)(a + b)
Solution:
cosec 79°cosec 79° (1 - cos 79°)

Simplify: cosecθ(1 – cosθ)(cosecθ + cotθ)
If cot A + cos A = p, cot A - cos A = q, then what is the value of p2- q2?
What is the value of sin 20° cos 10° + cos 20° sin 10°?
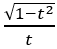
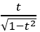
If sin x = and x ∈ (0, ), then find
Find the value of
If sin θ + cos θ = √3, then the value of tan θ + cot θ is:
If , then the value of the expression is:
If then the value of tan5θ is:
The value of the expression is:
The value of
Suggested Test Series
Suggested Test Series