hamburger menu
All Coursesall course arrow
adda247
reward-icon
adda247
    arrow
    arrow
    arrow
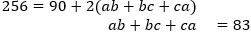
    If , find the value of (ab+bc+ca)
    Question

    If , find the value of (ab+bc+ca)

    A.

    84

    B.

    83

    C.

    82

    D.

    81

    Correct option is B




    Free Tests

    Free
    Must Attempt

    SSC GD PYP (Held on 4 Feb 2025 S1)

    languageIcon English
    • pdpQsnIcon80 Questions
    • pdpsheetsIcon160 Marks
    • timerIcon60 Mins
    languageIcon English
    Free
    Must Attempt

    Hindi Section Test 1

    languageIcon English
    • pdpQsnIcon20 Questions
    • pdpsheetsIcon40 Marks
    • timerIcon12 Mins
    languageIcon English
    Free
    Must Attempt

    SSC GD Constable Full Mock Test 1

    languageIcon English
    • pdpQsnIcon80 Questions
    • pdpsheetsIcon160 Marks
    • timerIcon60 Mins
    languageIcon English
    test-prime-package

    Access ‘SSC CGL Tier I’ Mock Tests with

    • 60000+ Mocks and Previous Year Papers
    • Unlimited Re-Attempts
    • Personalised Report Card
    • 500% Refund on Final Selection
    • Largest Community
    students-icon
    368k+ students have already unlocked exclusive benefits with Test Prime!
    Our Plans
    Monthsup-arrow