Correct option is C
Let the first number be xxx and the second number be y.
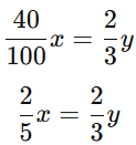
Given that 40% of x is equal to two-thirds of y, we can write:

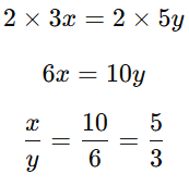
Cross-multiplying:

the ratio of the first number to the second number is 5:3.
If 40% a number is equal to two-third of another number, what is the ratio of the first number to the second number?
Let the first number be xxx and the second number be y.
Given that 40% of x is equal to two-thirds of y, we can write:

Cross-multiplying:

the ratio of the first number to the second number is 5:3.
Find the value of x in the proportion 69 : 23 :: 63 : x.
The ratio of the incomes of A and B is 3 : 5 and the ratio of their expenditures is 2: 3. If the income of A is equal to 6/7 of the expenditure of B, then the ratio of the savings of A and B is :
The ratio of number of boys and girls in a school of 3528 students is 5:4. How many more girls should be admitted in the school to make this ratio 1:1?
If the third proportional of 28 and 70 be x, then what is the value of x?
The cost of 40 packets of 12 pens is ₹1680. The cost of 30 packets each containing 9 pens is
The first, second and fourth numbers in a proportion are 31, 12 and 156 respectively.
The mean proportional between 25 and a number N is two times the mean proportional between 15 and 35.
Compare the ratios 12 : 13, 7 : 8, 9 : 10, and 5 : 6. Which one is greater than 0.9 but smaller than 0.95?
Suggested Test Series
Suggested Test Series