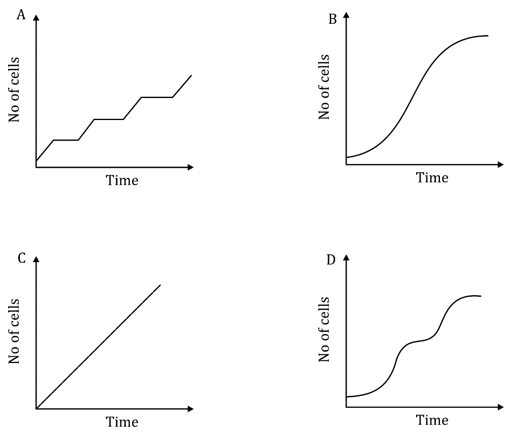
Correct option is D
Curve Identification:
A: Step-like growth
Cells divide at the same time → Synchronous culture
B: Smooth S-shaped (sigmoidal)
Typical growth with lag, log, stationary → Asynchronous culture
C: Straight linear increase
Constant growth rate, no lag/stationary → Continuous culture
D: Two distinct growth phases (biphasic)
Two sugar sources metabolized sequentially → Diauxic growth
Information Booster: Bacterial Growth Curves & Culture Types
Synchronous Culture
Definition: All cells divide at the same time.
Growth Pattern: Step-like (staircase curve).
Use: Experimental studies needing uniform cell age.
Asynchronous Culture
Definition: Cells divide at different times (natural condition).
Growth Pattern: Smooth sigmoidal (S-shaped) curve.
Phases: Lag → Log → Stationary → Death.
Continuous Culture
Definition: Fresh medium continuously added, waste removed.
Growth Pattern: Linear/logarithmic steady state.
Equipment: Chemostat or turbidostat.
Use: Industrial fermentation, long-term studies.
Diauxic Growth
Definition: Two sugars used sequentially (e.g., glucose then lactose).
Growth Pattern: Biphasic with a lag between two exponential phases.
Example: E. coli grown in glucose + lactose medium.



