hamburger menu
All Coursesall course arrow
adda247
reward-icon
adda247
    arrow
    arrow
    arrow
    Find the value of (x+y)2(x+y)^2(x+y)2​, if x=2+32−3x=\frac{\sqrt2+\sqrt3}{\sqrt2-\sqrt3}x=2​−3​2​+3​​​ and y=2−32+3y=\frac{\sqrt2-\sqrt3}{\sqrt2+
    Question

    Find the value of (x+y)2(x+y)^2​, if x=2+323x=\frac{\sqrt2+\sqrt3}{\sqrt2-\sqrt3}​ and y=232+3y=\frac{\sqrt2-\sqrt3}{\sqrt2+\sqrt3}​.

    A.

    36

    B.

    100

    C.

    25

    D.

    225

    Correct option is B

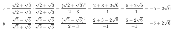
    Given:

    x=2+323,y=232+3x = \dfrac{\sqrt{2} + \sqrt{3}}{\sqrt{2} - \sqrt{3}}, \quad y = \dfrac{\sqrt{2} - \sqrt{3}}{\sqrt{2} + \sqrt{3}}​​

    Formula Used:

    x2y2=(xy)(x+y)x^2 - y^2 = (x - y)(x + y)​​

    (x+y)2=x2+y2+2xy(x + y)^2 = x^2 + y^2 + 2xy​​

    Solution:

    ​Now,

    (x+y)2=((526)+(5+26))2=(10)2=100(x + y)^2 =( (-5 - 2\sqrt{6}) + (-5 + 2\sqrt{6}))^2 = (-10)^2 = 100​​

    Free Tests

    Free
    Must Attempt

    CBT-1 Full Mock Test 1

    languageIcon English
    • pdpQsnIcon100 Questions
    • pdpsheetsIcon100 Marks
    • timerIcon90 Mins
    languageIcon English
    Free
    Must Attempt

    RRB NTPC Graduate Level PYP (Held on 5 Jun 2025 S1)

    languageIcon English
    • pdpQsnIcon100 Questions
    • pdpsheetsIcon100 Marks
    • timerIcon90 Mins
    languageIcon English
    Free
    Must Attempt

    RRB NTPC UG Level PYP (Held on 7 Aug 2025 S1)

    languageIcon English
    • pdpQsnIcon100 Questions
    • pdpsheetsIcon100 Marks
    • timerIcon90 Mins
    languageIcon English
    test-prime-package

    Access ‘RRB NTPC’ Mock Tests with

    • 60000+ Mocks and Previous Year Papers
    • Unlimited Re-Attempts
    • Personalised Report Card
    • 500% Refund on Final Selection
    • Largest Community
    students-icon
    368k+ students have already unlocked exclusive benefits with Test Prime!
    Our Plans
    Monthsup-arrow