arrow
arrow
arrow
A and B working together can do a piece of work in 24 days, B and C working together can do the same piece of work in 15 days and A and C working toge
Question



A and B working together can do a piece of work in 24 days, B and C working together can do the same piece of work in 15 days and A and C working together can do the same piece of work in 20 days. They all worked together for 6 days and then A and C leaves the work, then in how many days will B take to finish the remaining work?

A.

15 days

B.

8 days

C.

12 days

D.

21 days

E.

18 days

Correct option is E


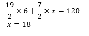
Let the total work be 120 unit (LCM of 24, 15 and 20)
So, the efficiency of A + B = 5 unit/day
The efficiency of B + C = 8 unit/day
The efficiency of A + C = 6 unit/day
The efficiency of A + B + C = (5+8+6)/2 = 19/2 unit/day
So, the efficiency of B =19/2 -6 = 7/2 unit/day
Let the time taken by B to complete the remaining work be x days.
ATQ,

Free Tests

Free
Must Attempt
Video Solutions

RBI Assistant Pre 2026 Full Mock Test -01

languageIcon English
  • pdpQsnIcon100 Questions
  • pdpsheetsIcon100 Marks
  • timerIcon60 Mins
languageIcon English
Free
Must Attempt
Video Solutions

RBI Asst Prelims 2026 : Reasoning Section Test 01

languageIcon English
  • pdpQsnIcon35 Questions
  • pdpsheetsIcon35 Marks
  • timerIcon20 Mins
languageIcon English
Free
Must Attempt
Video Solutions

RBI Office Attendant 2026 Full Mock Test - 01

languageIcon English
  • pdpQsnIcon120 Questions
  • pdpsheetsIcon120 Marks
  • timerIcon90 Mins
languageIcon English

Similar Questions

test-prime-package

Access ‘IBPS Clerk Prelims’ Mock Tests with

  • 60000+ Mocks and Previous Year Papers
  • Unlimited Re-Attempts
  • Personalised Report Card
  • 500% Refund on Final Selection
  • Largest Community
students-icon
354k+ students have already unlocked exclusive benefits with Test Prime!
Our Plans
Monthsup-arrow