Correct option is C

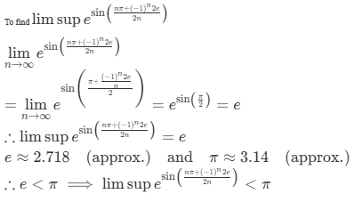
n→∞limesin(2nnπ+(−1)n2e)=n→∞limesin(2π+n(−1)n2e)=esin(2π)=e∴limsupesin(2nnπ+(−1)n2e)=ee≈2.718(approx.)andπ≈3.14(approx.)∴e<π⟹limsupesin(2nnπ+(−1)n2e)<π
Which of the following assertions is correct?

For , define
What is the value of ?
Let φ(n)\varphi(n)φ(n) be the cardinality of the set:
Where gcd(a,n)\gcd(a, n)gcd(a,n) denotes the greatest common divisor of aaa and nnn.
Which of the following is NOT true?
{a∣1≤a≤n,gcd(a,n)=1}\{ a \mid 1 \leq a \leq n, \, \gcd(a, n) = 1 \}
For a positive integer n, let denote the n-th derivative of f.
Suppose anentire function f satisfies:
Which of the following is correct?
Let X, Y be defined by
and
.
Which of the following is true?
Suppose are two bounded sequences of real numbers.
Which of the following is true?
Consider the series
For which values of , does the series
Let . Which of the following is true for the series:
?
For , define
What is the value of ?