Correct option is A
Solution:


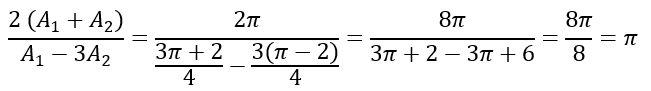
What is the value of

Solution:

Two circular pizzas have radii in the ratio 2:3. If the smaller pizza has an area of 100π cm², what is the area of the larger pizza?
What is the area of the segment formed by a chord in a circle of radius 8 cm, if the angle subtended at the center is 60°?
Find the circumference (in m) of the largest circle that can be drawn completely inside a rectangle with sides 249 m and 217 m. [Take π = 22/7]
A square circumscribes a circle and another square is inscribed in the circle such that one vertex is at the point of contact. The ratio of the areas of the circumscribed and the inscribed squares is:
The area of a sector of a circle of radius 16 cm cut off by an arc of length 18.5 cm is:
Circumference of a circle is equal to the perimeter of a square. What is the ratio of area of circle to the area of square?
Find the circumference (in m) of the largest circle that can be inscribed in a rectangle whose dimensions are given as 114 m and 63 m.
Take =
In a circle of radius 10.5 cm, if the angle of a sector is , then the perimeter of the sector is (in cm):
Find the area of a sector with a central angle of 150° in a circle with a radius of 12 cm.
A person orders a 12-inch circular pizza online. The restaurant calls her back and says that they ran out of 12-inch pizzas and instead offers the following choices in circular pizzas. Which of them gives the best value for her money?
Suggested Test Series
Suggested Test Series