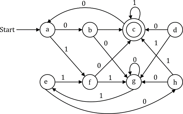
Correct option is C
To minimize the number of states in the given finite automaton, we follow the process of
state minimization, which involves:
1.
Removing Unreachable States:
· All states that cannot be reached from the start state are removed.
· From the diagram:
· All states are reachable, so no state is removed at this step.
2.
Finding Equivalent States:
· Two states are equivalent if they cannot be distinguished by any string of input symbols (i.e., they lead to the same set of outputs for all possible inputs).
· The
partitioning method is used to group states:
· Group 1: States that lead to an accepting state.
· Group 2: States that lead to a non-accepting state.
Step-by-Step Minimization:
1.
Initial Partition:
· Divide states into final states and non-final states.
Information Booster:
1.
State Minimization Techniques:
· Remove unreachable states.
· Use equivalence partitions to group indistinguishable states.
2.
Applications of Minimized Automata:
· Reduces memory usage.
· Optimizes performance in hardware implementations.
