hamburger menu
All Coursesall course arrow
adda247
reward-icon
adda247
    arrow
    arrow
    arrow
    What is (sin 9° − cos 9°) equal to?
    Question

    What is (sin 9° − cos 9°) equal to?

    A.


    B.


    C.


    D.


    Correct option is A

    Solution:

    (sin 9° − cos 9°)

    sin A − cos A = √2 × sin(A − 45°)
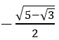
    sin9cos9=2sin(945)=2sin(36)=2sin(36)=210254 =2(1025)4 =20454 =144(55) =14255 =552\sin 9^\circ - \cos 9^\circ = \sqrt{2} \cdot \sin(9^\circ - 45^\circ) \\= \sqrt{2} \cdot \sin(-36^\circ) = -\sqrt{2} \cdot \sin(36^\circ) \\= -\sqrt{2} \cdot \frac{\sqrt{10 - 2\sqrt{5}}}{4} \\\ \\= -\frac{\sqrt{2(10 - 2\sqrt{5})}}{4} \\\ \\= -\frac{\sqrt{20 - 4\sqrt{5}}}{4} \\\ \\= -\frac{1}{4} \cdot \sqrt{4(5 - \sqrt{5})} \\\ \\= -\frac{1}{4} \cdot 2\sqrt{5 - \sqrt{5}} \\\ \\= \boxed{-\frac{\sqrt{5 - \sqrt{5}}}{2}}​​

    Free Tests

    Free
    Must Attempt

    Set Theory

    languageIcon English
    • pdpQsnIcon10 Questions
    • pdpsheetsIcon10 Marks
    • timerIcon10 Mins
    languageIcon English
    Free
    Must Attempt

    AAI Junior Executive (ATC) Mock 1

    languageIcon English
    • pdpQsnIcon120 Questions
    • pdpsheetsIcon120 Marks
    • timerIcon120 Mins
    languageIcon English
    Free
    Must Attempt

    Indian Air Force AFCAT II 2025 Mock 01

    languageIcon English
    • pdpQsnIcon100 Questions
    • pdpsheetsIcon300 Marks
    • timerIcon120 Mins
    languageIcon English
    test-prime-package

    Access ‘NDA and NA’ Mock Tests with

    • 60000+ Mocks and Previous Year Papers
    • Unlimited Re-Attempts
    • Personalised Report Card
    • 500% Refund on Final Selection
    • Largest Community
    students-icon
    368k+ students have already unlocked exclusive benefits with Test Prime!
    Our Plans
    Monthsup-arrow